Предмет: Химия,
автор: folkikty
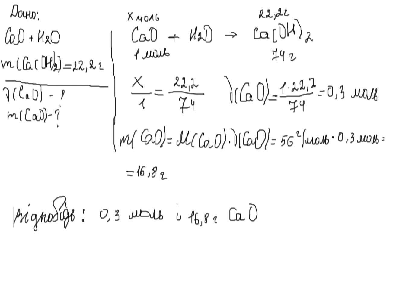
Кальцій оксид повністю прорегаував із водою, Маса утвореного кольцій гідроксиду- 22,2 г. Обчисліть кількість речовини та масу кальцій оксиду, що вступив у реакцію
Ответы
Автор ответа:
24
Відповідь: 0,3 моль та 16,8 г CaO
Приложения:
Похожие вопросы
Предмет: Українська мова,
автор: ghjdf
Предмет: Русский язык,
автор: dasha0202200
Предмет: Другие предметы,
автор: Аноним
Предмет: Биология,
автор: KseniaMH04