Предмет: Алгебра,
автор: kudryashka43
ДАЮ 50 БАЛЛОВ!!!
(ЗА ДИСКРИМІНАНТОМ)
Приложения:
Ответы
Автор ответа:
0
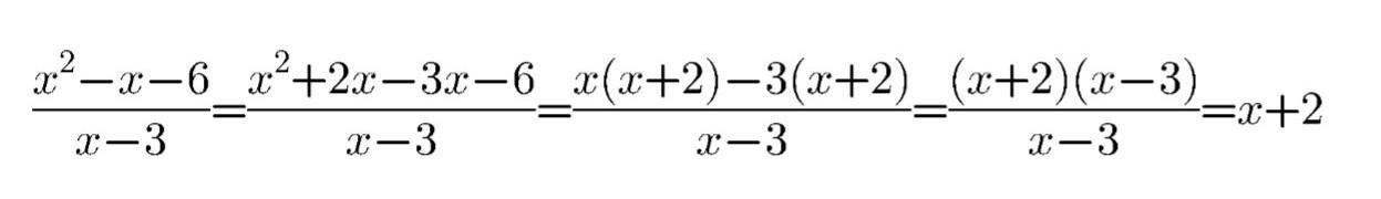
1)X+2
2)6a-1 внизу а+2
Автор ответа:
1
Решение во вложении...
Приложения:
Похожие вопросы
Предмет: Русский язык,
автор: mishinagelya
Предмет: Русский язык,
автор: misslittle
Предмет: Русский язык,
автор: emil280803
Предмет: Математика,
автор: inga47