Предмет: Математика,
автор: whhshejehej
помогите решить уравнение
Приложения:
Ответы
Автор ответа:
1
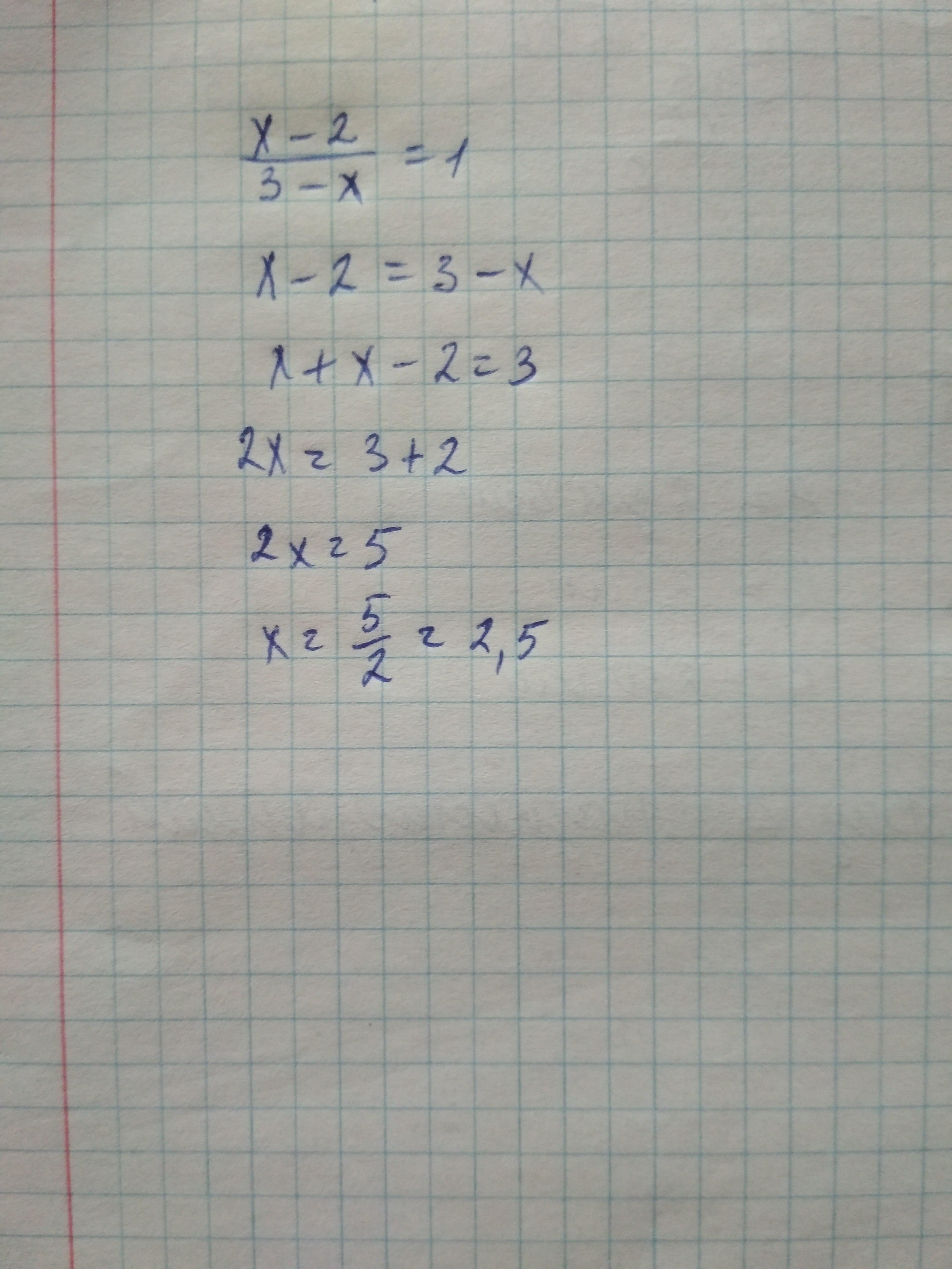
Ответ:
2.5
Пошаговое объяснение:
x-2=3-x (по свойству пропорции)
x+x=3+2
2x=5
x=2.5
Автор ответа:
0
Ответ:
2.5
Пошаговое объяснение:
Приложения:
Похожие вопросы
Предмет: Английский язык,
автор: sivenkovslava97
Предмет: Русский язык,
автор: Анастасия1703
Предмет: Английский язык,
автор: missisdiane
Предмет: Математика,
автор: арина809
Предмет: Математика,
автор: Belyakova11