Предмет: Алгебра,
автор: emirmustafaev2007
Упростите выражение
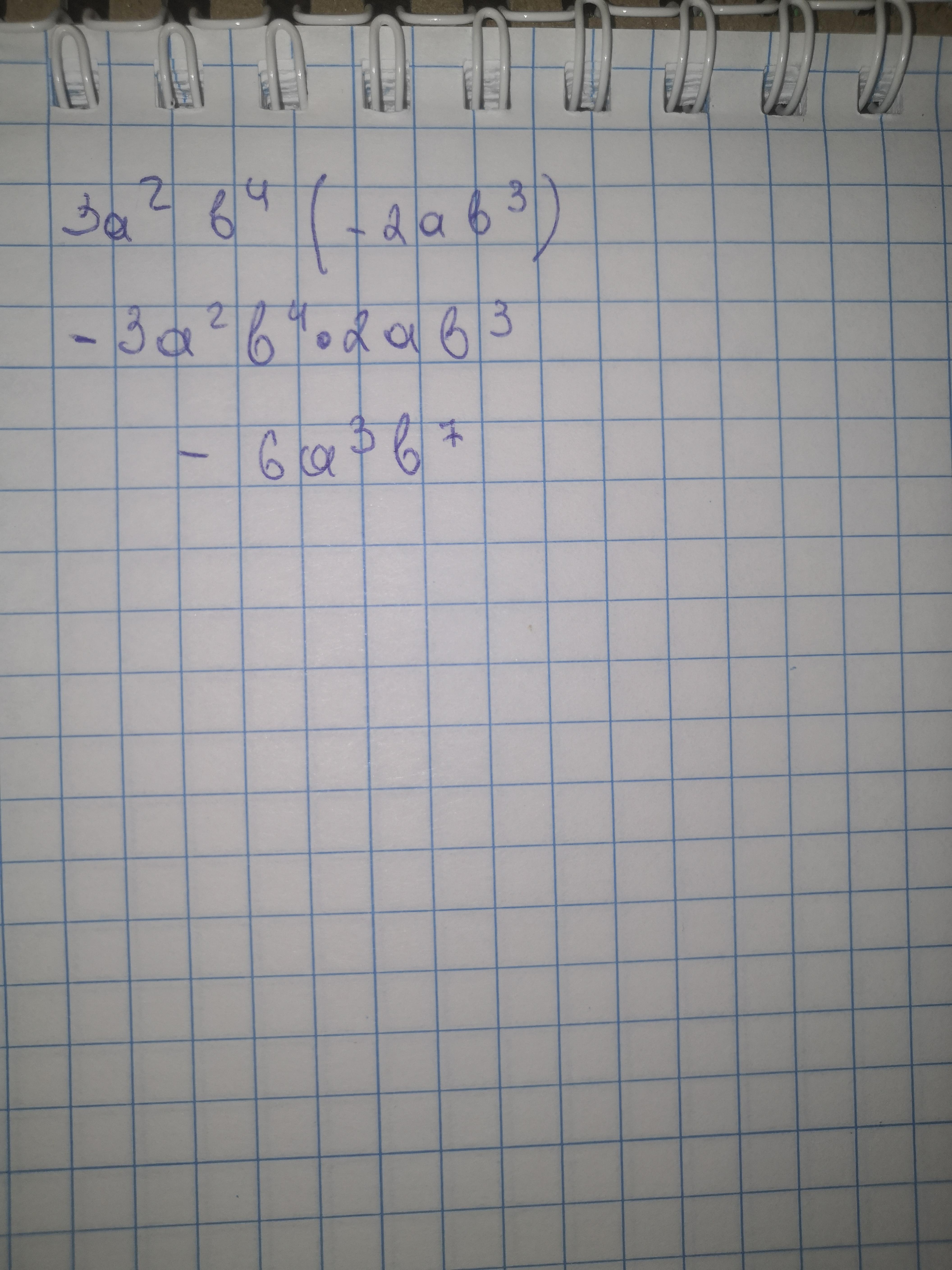
3a2 b4 *(-2ab3)
Ответы
Автор ответа:
1
Ответ:
Объяснение:
3a² b^4 *(-2ab³)= -6a³b^7
Автор ответа:
1
Ответ:
-6a3b7
Объяснение:
На фото
Приложения:
emirmustafaev2007:
спасибо
Похожие вопросы
Предмет: Русский язык,
автор: BloomMoskva
Предмет: Другие предметы,
автор: вартановангелина
Предмет: Русский язык,
автор: ajdash
Предмет: Химия,
автор: алекса200
Предмет: Алгебра,
автор: sweetfoxy