Предмет: Алгебра,
автор: IVANDOS17
помогите оооооочень срочно очень !!!! пожалуйста пожалуйста
Приложения:
Ответы
Автор ответа:
1
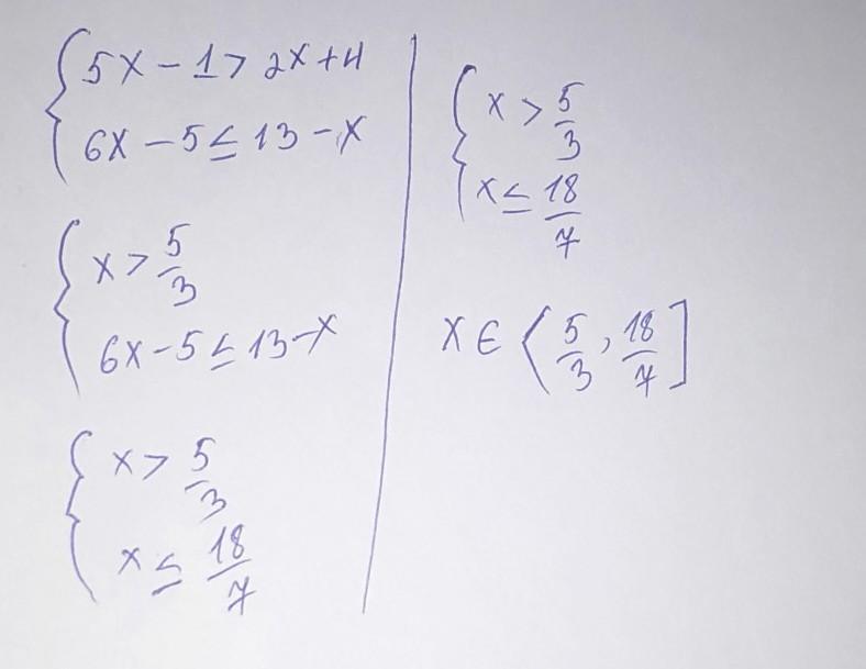
Ответ:
ответ написала на фотографии
Приложения:
Похожие вопросы
Предмет: Русский язык,
автор: Timhik
Предмет: Українська мова,
автор: передерий123
Предмет: Русский язык,
автор: MrRade
Предмет: Математика,
автор: marsikk1985