Предмет: Алгебра,
автор: fasatanberkovesh
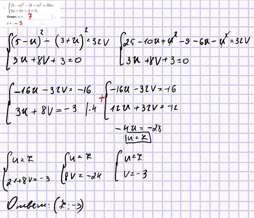
Помогите решить систему уравнений
Приложения:
Ответы
Автор ответа:
1
Ответ:
1)(7;-3)
2)(-2;5)
Объяснение:
Приложения:
Похожие вопросы
Предмет: Українська мова,
автор: muchschka
Предмет: Английский язык,
автор: svetapan
Предмет: Українська література,
автор: nahutscaa
Предмет: Обществознание,
автор: Аноним
Предмет: Химия,
автор: diddigel