Предмет: Геометрия,
автор: dashaavataria2016
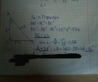
У трикутнику АВС кут С=90° АВ=25см АС=7см . РОЗВ'ЯЗАТИ ЦЕЙ ТРИКУТНИК ( с рисунком)
Ответы
Автор ответа:
7
Ответ:
вс=24, А=74, В=16
Объяснение:
Приложения:
Похожие вопросы
Предмет: Русский язык,
автор: neksa
Предмет: Другие предметы,
автор: Аноним
Предмет: Русский язык,
автор: anna31122001
Предмет: Математика,
автор: Настя23238
Предмет: История,
автор: Карина2015189152356