Предмет: Математика,
автор: iragolovko94
Допоможіть будь ласка
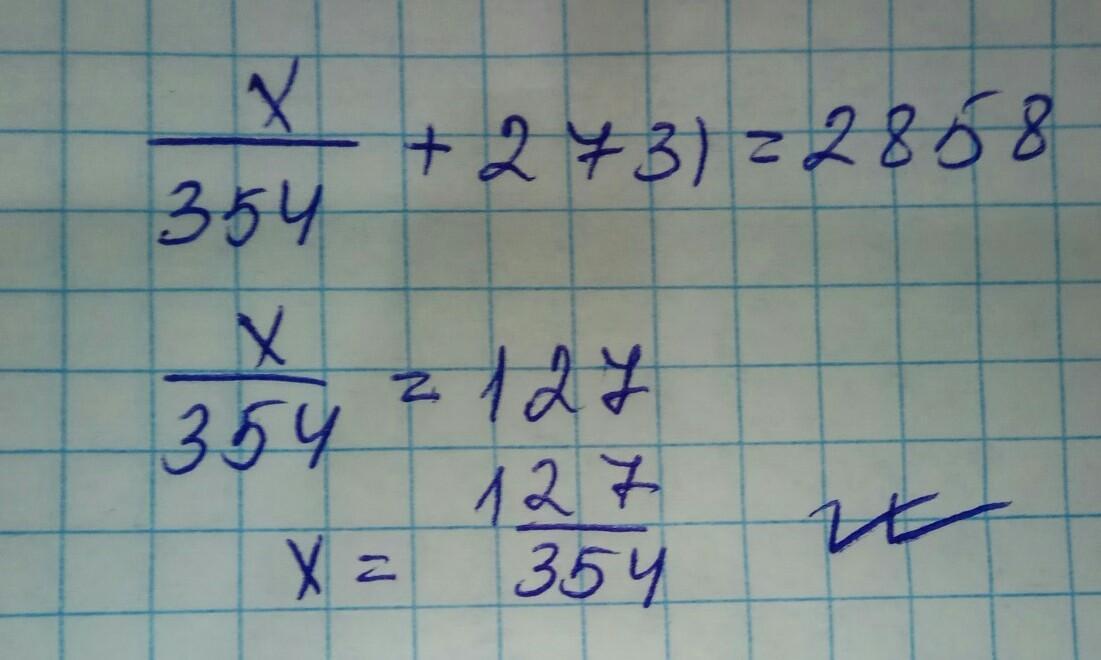
X:354+2731=2858
Ответы
Автор ответа:
0
Ответ:
127/354
Пошаговое объяснение:
на фото⬆️⬆️⬆️⬆️⬆️⬆️⬆️⬆️⬆️
Приложения:
Похожие вопросы
Предмет: Английский язык,
автор: suvorova171177
Предмет: Русский язык,
автор: Ангелюша5
Предмет: Другие предметы,
автор: a23470
Предмет: Математика,
автор: Ульяша666