Предмет: Алгебра,
автор: kadaria70
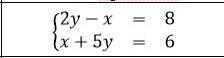
Решите пожалуйста тремя способами
Приложения:
Ответы
Автор ответа:
1
{2у-х=8
{х=6-5у
2у-(6-5у)=8
у=2
х=6-5×2
х=-4
Похожие вопросы
Предмет: Русский язык,
автор: ladifors
Предмет: Английский язык,
автор: valgelmina
Предмет: Русский язык,
автор: OFFICE73
Предмет: Информатика,
автор: rubikstail
Предмет: Биология,
автор: tahir200428