Предмет: Алгебра,
автор: kristikatomatik
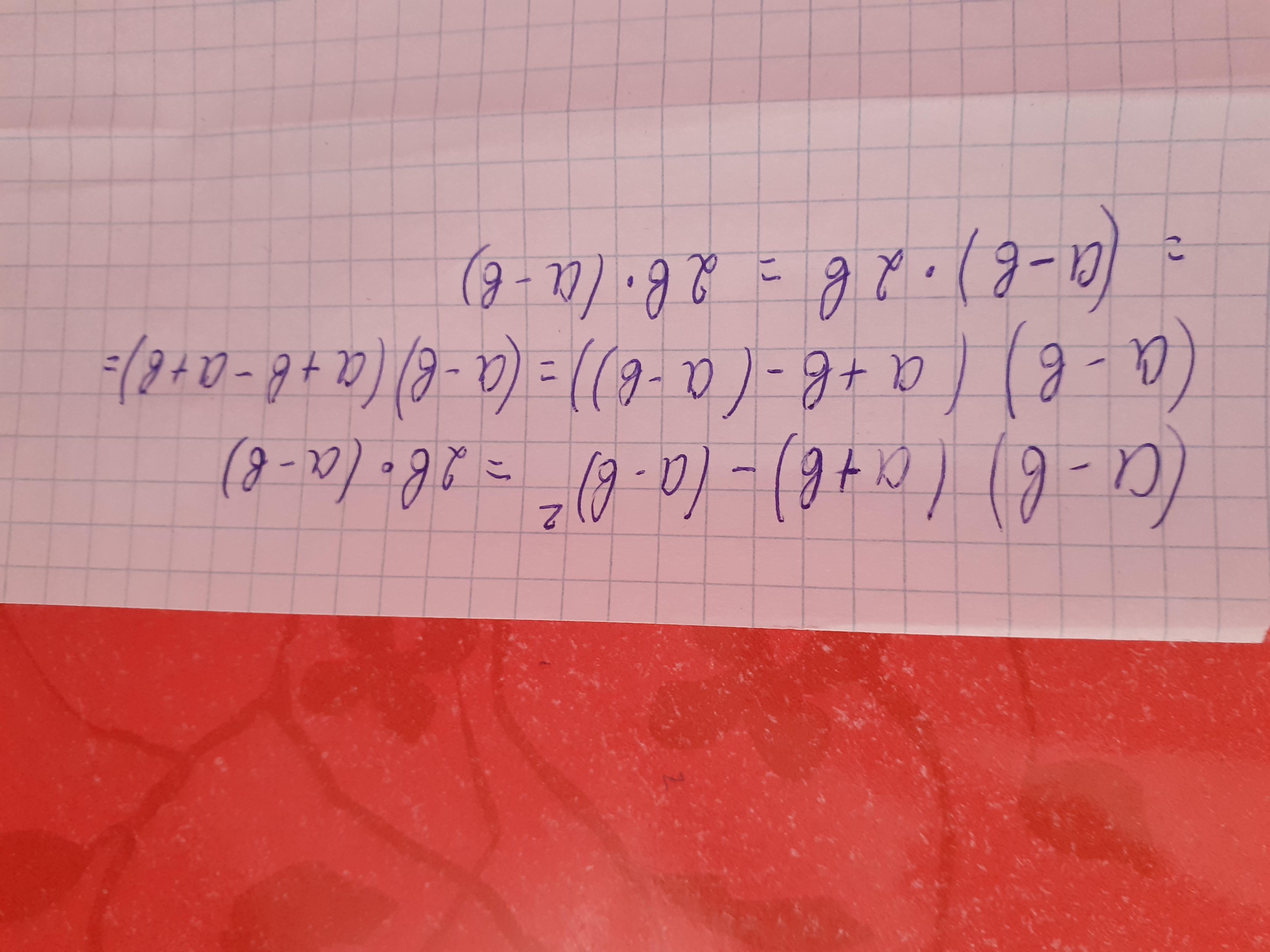
(а-b) (а+b)-(а-b)² хееееееелп
Приложения:
Ответы
Автор ответа:
0
Ответ:2b×(a-b)
Объяснение:
Приложения:
kristikatomatik:
тамм есть ооответы,не можешь сказать просто буквуу
чувак, не правильно ты разложил на множители, а тут такого ответа нет даже
Автор ответа:
0
Ответ:
под А
ты про жтот вопрос имел ввиду?
Похожие вопросы
Предмет: Русский язык,
автор: ilkum
Предмет: Русский язык,
автор: DeathSoulBaby
Предмет: Русский язык,
автор: Аноним
Предмет: Математика,
автор: Аноним
Предмет: Математика,
автор: Evgenia137