Предмет: Алгебра,
автор: 12224244416
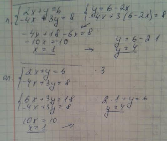
Решить уравнение методом подстановки и методом алгебраического сложения {2х+у=6,
{-4х+3у=8.
Ответы
Автор ответа:
0
Смотри фото решение на листе
Приложения:
Автор ответа:
0
,,,,,,,,,,,,,,,,,,,,,,,,,,,,,,,,,,,,
Приложения:
Похожие вопросы
Предмет: Химия,
автор: DanyaKosts
Предмет: Математика,
автор: agrigoreva963
Предмет: Математика,
автор: vovabalalaev
Предмет: Математика,
автор: вероника112233