Предмет: Алгебра,
автор: cakemrbig
СРОЧНО! Даю 15 баллов!
Приложения:
Ответы
Автор ответа:
1
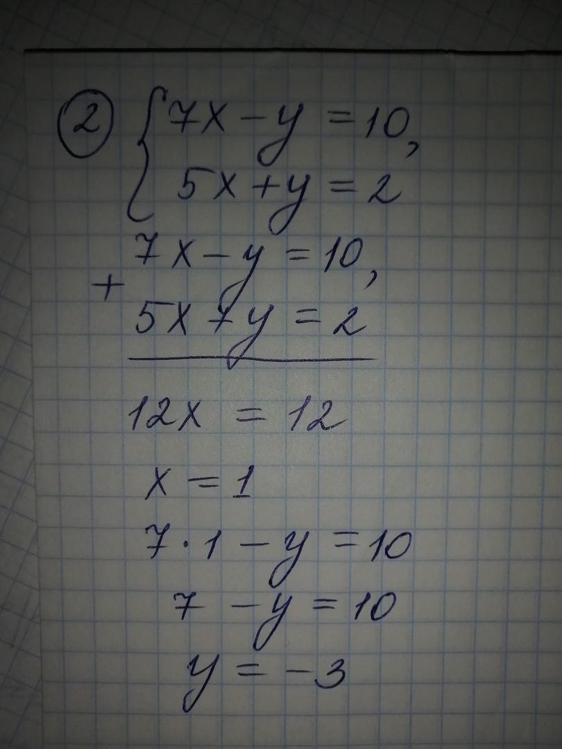
Ответ:
Полностью задание
Если есть вопросы, задавайте
Приложения:
cakemrbig:
Спасибо
Похожие вопросы
Предмет: Українська мова,
автор: staunowa
Предмет: Українська мова,
автор: Мазафака0
Предмет: Русский язык,
автор: Мури
Предмет: Математика,
автор: Heckapoo