Предмет: Алгебра,
автор: vasinalizza2014
ПРОШУ ПОМОГИТЕ НУЖНО ВСЕ ОЧЕНЬ ПОДРОБНО РАСПИСАТЬ ОТДАМ 30 БАЛЛОВ!!!!
Приложения:
Ответы
Автор ответа:
1
Ответ:
№1
a) x=1
б) x=1;-5
в) x=±3;±2
№2
ответ: скорость первого 12км/ч, второго 10км/ч
№3
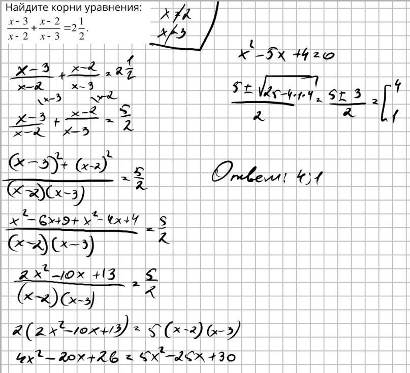
x=4;1
Объяснение:
Приложения:
Похожие вопросы
Предмет: Другие предметы,
автор: Kristi1505
Предмет: Русский язык,
автор: ника5667
Предмет: Українська мова,
автор: pogdan
Предмет: Математика,
автор: Nata9922
Предмет: Биология,
автор: ledilena23