Предмет: Математика,
автор: olegaruslanov
Помогите пожалуйста решить срочно!!!!!!!!!
Приложения:
Ответы
Автор ответа:
0
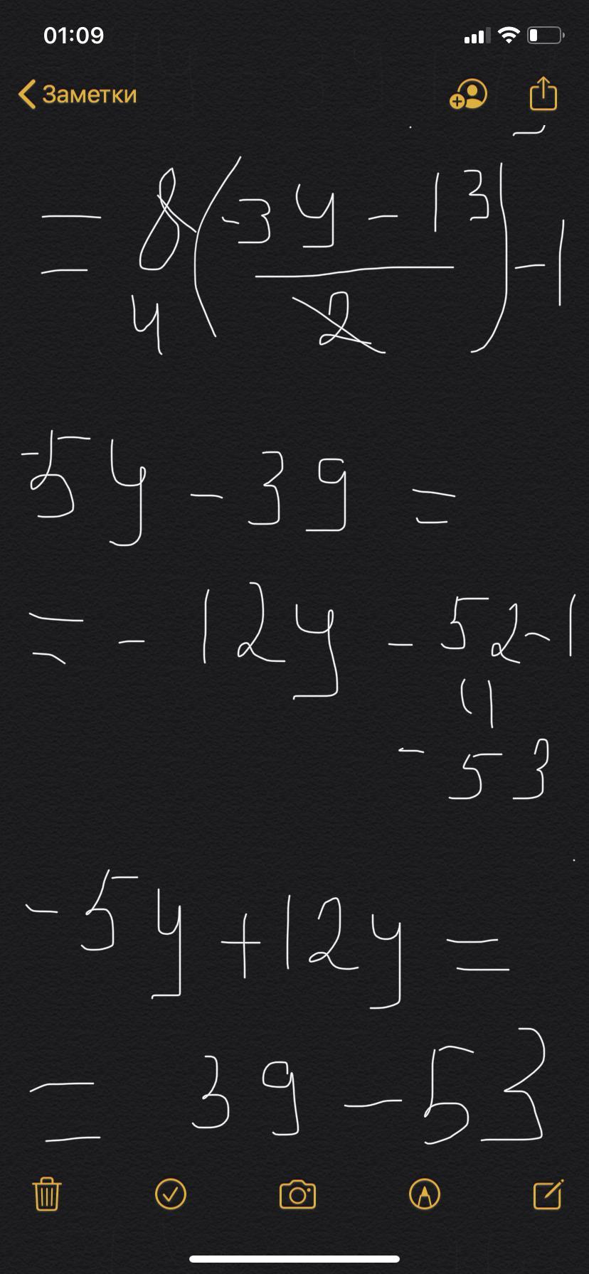
Ответ:
Пошаговое объяснение:
Приложения:
Похожие вопросы
Предмет: Русский язык,
автор: listva81
Предмет: Русский язык,
автор: lel9ka
Предмет: Русский язык,
автор: Дилияна
Предмет: Алгебра,
автор: makxim20001