Предмет: Алгебра,
автор: Tsymbaliuk666
Допоможіть розв'язати лінійне рівняння!!!!Будь-ласка!!!!!!!Даю 20 балів!!!
Приложения:
Ответы
Автор ответа:
0
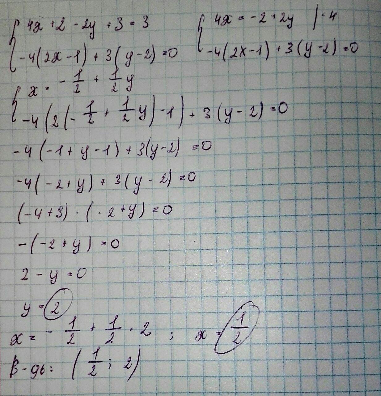
Відповідь:
(1/2;2)
Пояснення:
Решение на фото
Приложения:
Похожие вопросы
Предмет: Русский язык,
автор: serpokrylovaele
Предмет: Русский язык,
автор: заяка2002
Предмет: Русский язык,
автор: Flоrа
Предмет: Литература,
автор: Glebgik
Предмет: Математика,
автор: кристина1759