Предмет: Алгебра, автор: onewko

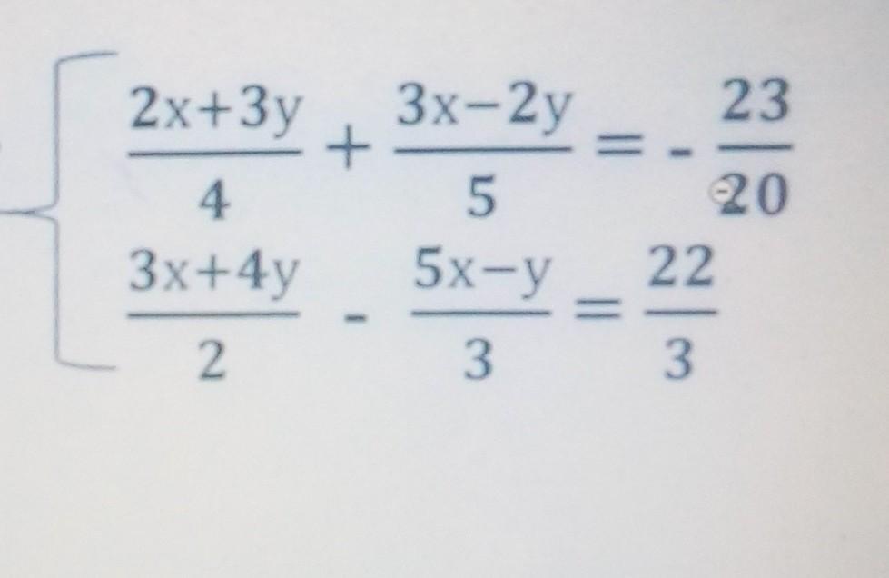
Дам 15 баллов решите пожалуйста систему управнения.​

Приложения:

Ответы

Автор ответа: Пеппер
1

Ответ:

(-2;  3)

Объяснение:

Приложения:

onewko: жаль что я уже сама решила но спасибо)))
Похожие вопросы
Предмет: Русский язык, автор: Tane4ka2608


1.Укажите
причастие в предложении    
Прислушайтесь хорошенько, стоя в лесу или среди цветущего поля, и вы
услышите чудесные звуки земли.


1.
стоя  
2. цветущего   3. чудесные 
4. хорошенько


2.  Выберите страдательное причастие









1.     
Лающая собака


2.     
 Расколовшийся кувшин


3.     
Смеющаяся мать


4.   
Составляемые планы










3.
Отметьте ряд, в котором на месте пропусков во всех словах пишется буква Е или
Ё.









1. завершенный, увлекаемый

2. движ…мый, развенч…нный

3. засенный, вычищ..нный

4. обла…нный, сморщ..нный









4.
Отметь ряд, в котором на месте пропусков во всех словах пишется две  НН










1. волосы причёса…ы,
нахмуре…ые брови

2. мороже…ое мясо, чугу..ая
сковородка

3. жела…ый гость, нечая…ый
подарок

4. краше…ое полотно, сестра
увлече…а









5.
Найдите деепричастие в предложении    Превозмогая 
острую   боль, раненый командир
подозвал к себе рулевого и приказал ему принять командование.


1. превозмогая  2. раненый   3. приказал     4. принять

6.
Укажите, в каком варианте ответа правильно указаны цифры, на месте которых
должны стоять запятые в предложении.

Охотники (1) оживленные
первой удачей (2) наскоро позавтракали (3) и тронулись в дальнейший путь.

1)     
  1,3        
     
2)   1,2        3) 2,3              4) 1,2,3    


7.
Укажите причастие в предложении    У воды блестели песчаные косы, а дальше
клубилась лиственная зелень, перемежаемая более темным сосняком и ельником.


1. песчаные   2) лиственная    3) перемежаемая    4) тёмным 


8.
Выбери действительное причастие 










1. расколотые дрова

2. услышанная просьба

3. засушенная трава

4. движущаяся колонна









9.
Отметь ряд, в котором  на месте пропусков
во всех словах пишется буква У (Ю) .           










1. брезж…щий, знач…щий

2 рокоч…щий, слыш..щая

3. стро…щий, ла…щий

4) стел…щийся, бор..щийся









 

10
Отметь ряд, в котором на месте пропусков во всех словах пишется одна буква Н.









1.     
Сломле…ый прутик, занавеше..ое окно


2.     
Брови нахмуре…ы, вялее...ая рыба


3.     
Встревоже…ый голос, кова..ая решетка


4.     
Соломе…ая корзинка, смышлё..ый мальчик


 









11.
Выбери деепричастие несовершенного вида

1. обнявшись    2. заметив  
3. вскочив    4. спеша


12. В
каком варианте ответа правильно указаны все цифры, на месте которых в
предложении должны стоять запятые?

 Женщина замолчала  (1) прислушиваясь к звукам песни (2)  и (3) подождав несколько секунд (4)
заговорила опять .


1)    1,3,4                                  2)    1,2,3                              3) 1,2,3,4                              4) 1,2,4 

13.
Отметь ряд, в котором на месте пропусков во всех словах  пишется 
буква А(Я)  










1. завис..щий, усе…нный

2. кле…щий, волну…щий

3. кол…щий, зате..нный

4. пен…щийся, измуч…нный.









14.
Отметь ряд, на месте пропусков в котором во всех словах пишется две буквы НН.









1. полотня…ый платок,
стреля…ый воробей

2. широко расставле…ые глаза,
вооружё..ый человек

3. деревя…ый пол, румя…ое
яблоко

4. копчё…ая колбаса,
стекля…ая посуда







15.
Найдите слово, в котором ударение падает на третий слог.

1. занял   2. заняло 
3.  заняла  4. заняли


16. В
каком варианте ответа правильно указаны цифры, на месте которых должны стоять
запятые?

Обгоняя нас (1) бежали (2)
шурша по мостовой (3) высохшие за лето (4) листья клёна.

1)     
1,2,3               2)    2,3                             3) 1,4                             4) 1,2,3,4


17. В
каком варианте ответа правильно указаны и объяснены все запятые?

Строки на газетном листе (1)
освещённые изнутри (2) казались (3) диковинными знаками.

1)     
  1,2  
-выделяется деепричастный оборот   
4) 1,2  - выделяется причастный
оборот


2)     
  1,3  -
выделяется причастный оборот


3)     
1.3   -
выделяется деепричастный оборот