Предмет: Математика,
автор: cemykolaaa
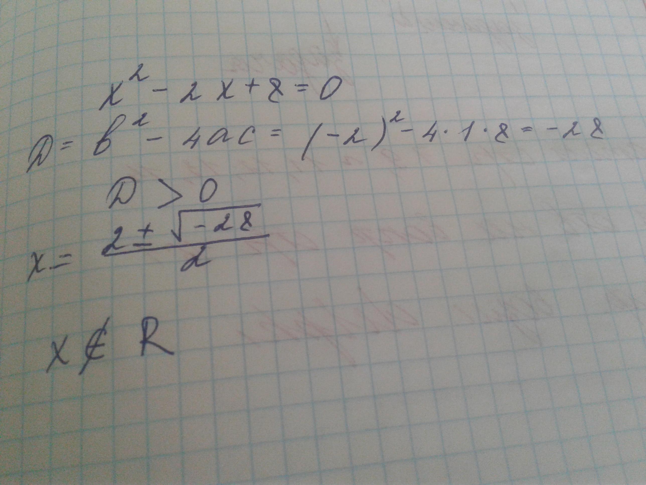
Знайти дискримінант та вказати корені x2-2x+8
Ответы
Автор ответа:
1
Ответ:
.............................
Пошаговое объяснение:
Приложения:
Похожие вопросы
Предмет: Другие предметы,
автор: Умнаяаня
Предмет: Русский язык,
автор: samerrtime18
Предмет: Другие предметы,
автор: kristinashtatnova
Предмет: Математика,
автор: blitz1809
Предмет: Физика,
автор: alyalya1601