Предмет: Геометрия,
автор: voronkovaanna29
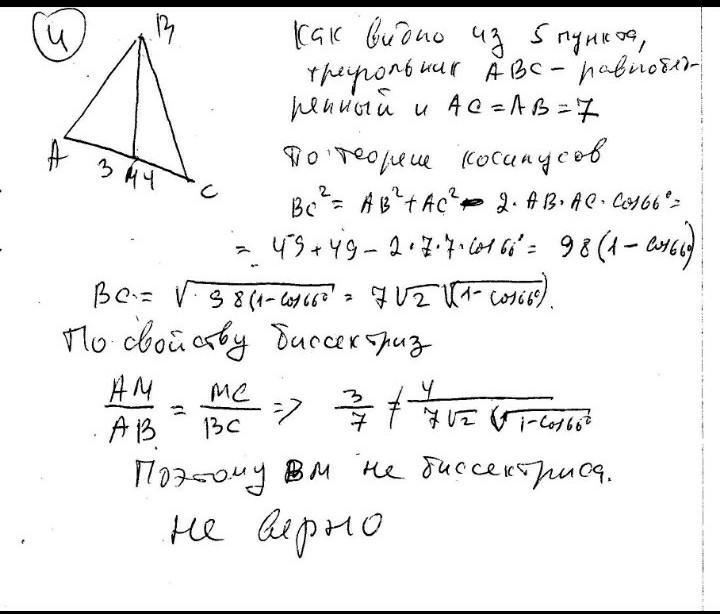
Выберите верный ответ. В прямоугольном треугольнике AN и BM биссектрисы острых углов.
Ответы
Автор ответа:
0
ответ: кто не не видит то ответ во вложении
Приложения:
Похожие вопросы
Предмет: Русский язык,
автор: tvshop
Предмет: Английский язык,
автор: katerin1982
Предмет: Русский язык,
автор: настя4552
Предмет: Алгебра,
автор: 0aleksm0
Предмет: Алгебра,
автор: 0aleksm0