Предмет: Алгебра,
автор: andrejpidr00
даю 100 балов, срочно пожалуйста
Приложения:
Ответы
Автор ответа:
1
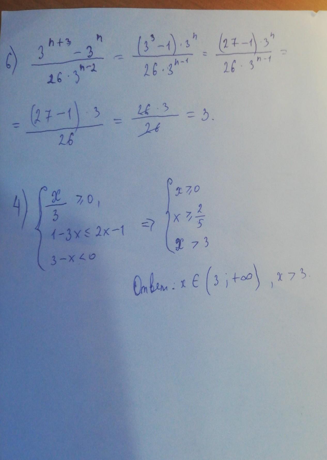
Ответ:
Не уверена насчёт 3 номера
Приложения:
andrejpidr00:
грац
В 3-ем номере нужно просто решить неравенство y<2. А y=(4x-5)/4, то есть надо решить обычное неравенство (4x-5)/4<2
В 4-м номере 3-x>0 это x<3! Ошибка
Не увидел, кстати. Там же 3-x<0, тогда верно)
Похожие вопросы
Предмет: Русский язык,
автор: annaprohorova8
Предмет: Русский язык,
автор: SundayAndrey
Предмет: Русский язык,
автор: Никита564532
Предмет: История,
автор: emilynight1
Предмет: История,
автор: emilynight1