Предмет: Алгебра,
автор: vlog44
пожалуйста 7класс выполните действие !!!!
Приложения:
Ответы
Автор ответа:
1
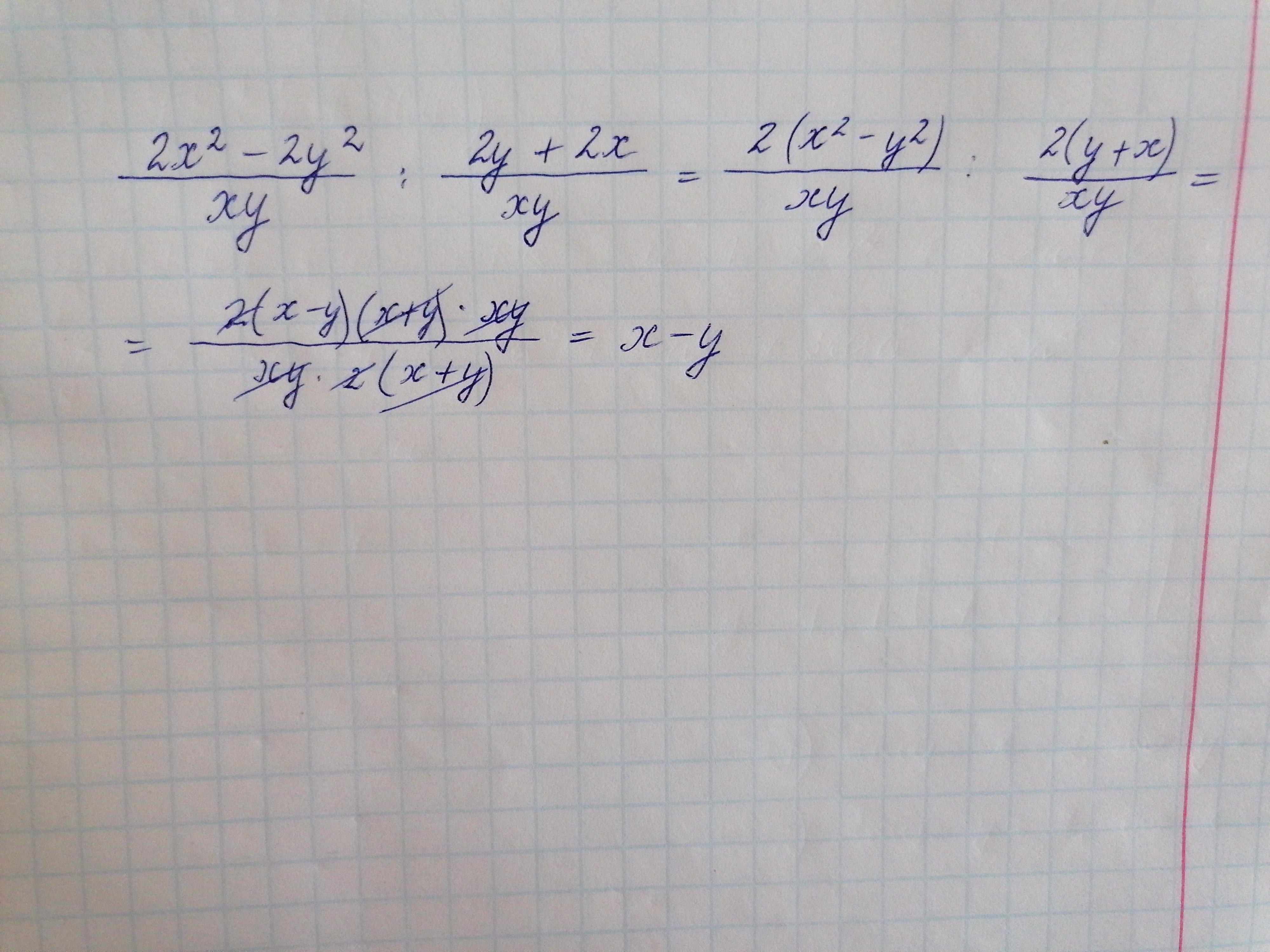
Завдання виконано на фото.
Приложения:
vlog44:
спасибо большое !!))
Похожие вопросы
Предмет: Русский язык,
автор: Аноним
Предмет: Русский язык,
автор: Sonetyk
Предмет: Беларуская мова,
автор: rafick
Предмет: Литература,
автор: vfhrjdfyfcnz