Предмет: Алгебра,
автор: Аноним
Прошу помогите решить с 3 по 6 задания!
Приложения:
Ответы
Автор ответа:
0
3номер
А) 1+В в ковадрате дробная черта В в 3 степени
Б) 3у-2 /y
В) 3x во второй✖️y в четвертой
Г)1/15а-5а в ковадрате
А) 1+В в ковадрате дробная черта В в 3 степени
Б) 3у-2 /y
В) 3x во второй✖️y в четвертой
Г)1/15а-5а в ковадрате
Автор ответа:
0
номер 6) 1) корень из 8 2)корень из19 3) 5 4)корень из 29
Автор ответа:
0
Номер 5 мне решить??????
Автор ответа:
0
да:)
Автор ответа:
0
У меня только график смотри фото остальные решают
Приложения:
Автор ответа:
0
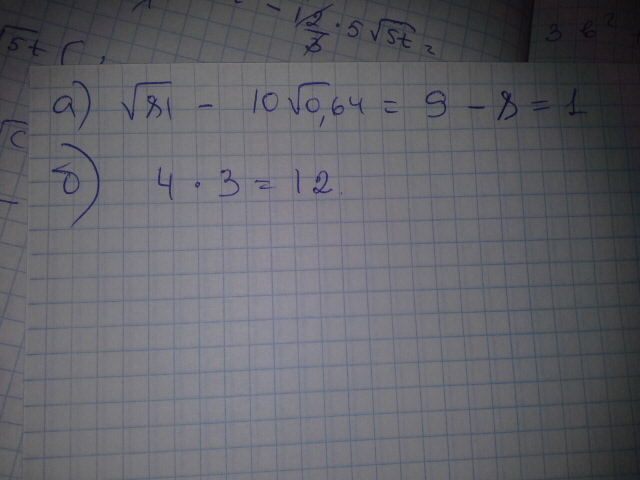
под а неправильно
Похожие вопросы
Предмет: Английский язык,
автор: chakurovaakbota
Предмет: Литература,
автор: keksik6426
Предмет: Математика,
автор: t0394206
Предмет: Математика,
автор: катяханина