Предмет: Геометрия,
автор: risulov
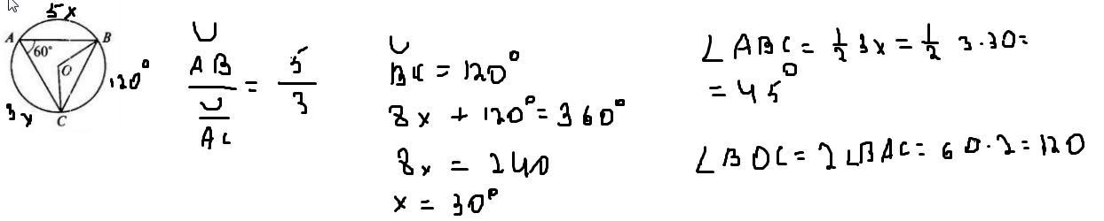
Вариант 2 сделайте пожалуйста
Приложения:
Ответы
Автор ответа:
0
Ответ:
четвёрочки тебе хватит
Объяснение:
Приложения:
Похожие вопросы
Предмет: Русский язык,
автор: liskinanata
Предмет: Русский язык,
автор: kfjfjddhgjx
Предмет: Русский язык,
автор: nikaeva09
Предмет: Алгебра,
автор: Dertyuip
Предмет: Математика,
автор: Аноним