Предмет: Алгебра,
автор: Sugar0ok
Помогите решить срочно!
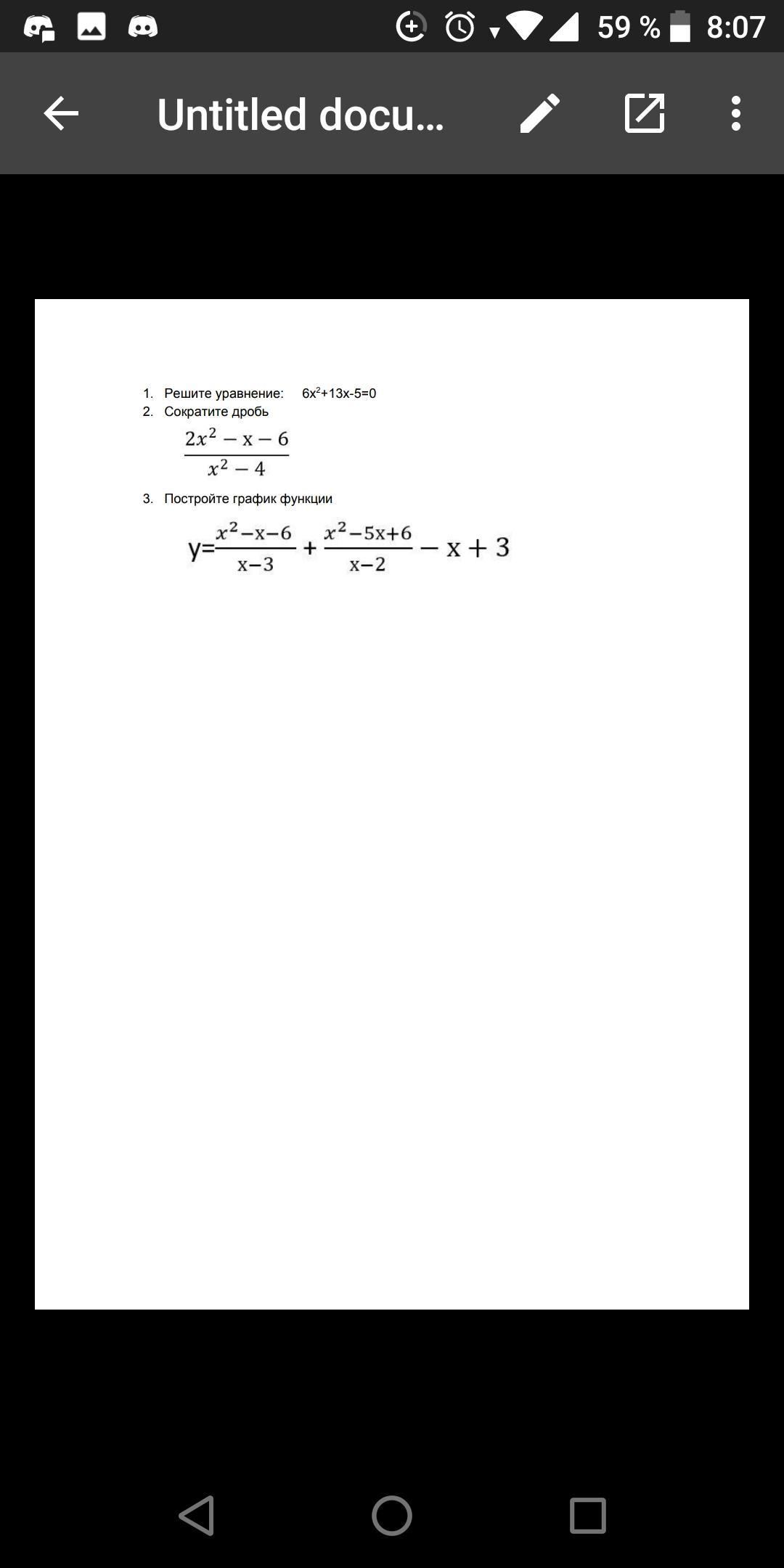
Приложения:
Ответы
Автор ответа:
0
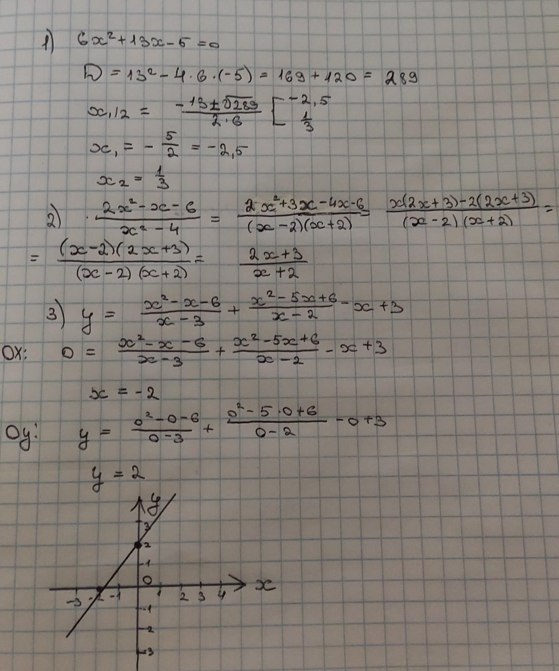
Вот на картинке решение
Приложения:
Похожие вопросы
Предмет: Русский язык,
автор: ksenichka3
Предмет: Қазақ тiлi,
автор: danmut2002
Предмет: Русский язык,
автор: 44667775544888
Предмет: Литература,
автор: deni20071
Предмет: Математика,
автор: FoFox1510