Предмет: Математика,
автор: bajkenovaaruzan
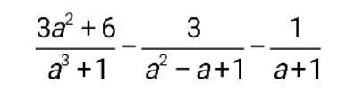
найти значение выражения при a=1,4
Приложения:
Ответы
Автор ответа:
1
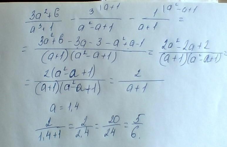
Ответ:
Пошаговое объяснение:
Приложения:
Похожие вопросы
Предмет: Английский язык,
автор: Аноним
Предмет: Русский язык,
автор: salkozhenya
Предмет: Русский язык,
автор: dnadia
Предмет: Математика,
автор: Limbo206