Предмет: Алгебра,
автор: natashalavrine
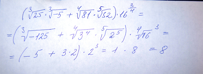
Вычислите значение выражения
Приложения:
Ответы
Автор ответа:
0
Решение ............................................
Приложения:
Похожие вопросы
Предмет: Қазақ тiлi,
автор: shiroii
Предмет: Математика,
автор: Аноним
Предмет: Қазақ тiлi,
автор: Alexand15
Предмет: Информатика,
автор: Аноним
Предмет: Математика,
автор: Аноним