Предмет: Алгебра,
автор: AnnaSergeevna87
Задание на скрине, помогите, сдавать завтра
Приложения:
Ответы
Автор ответа:
1
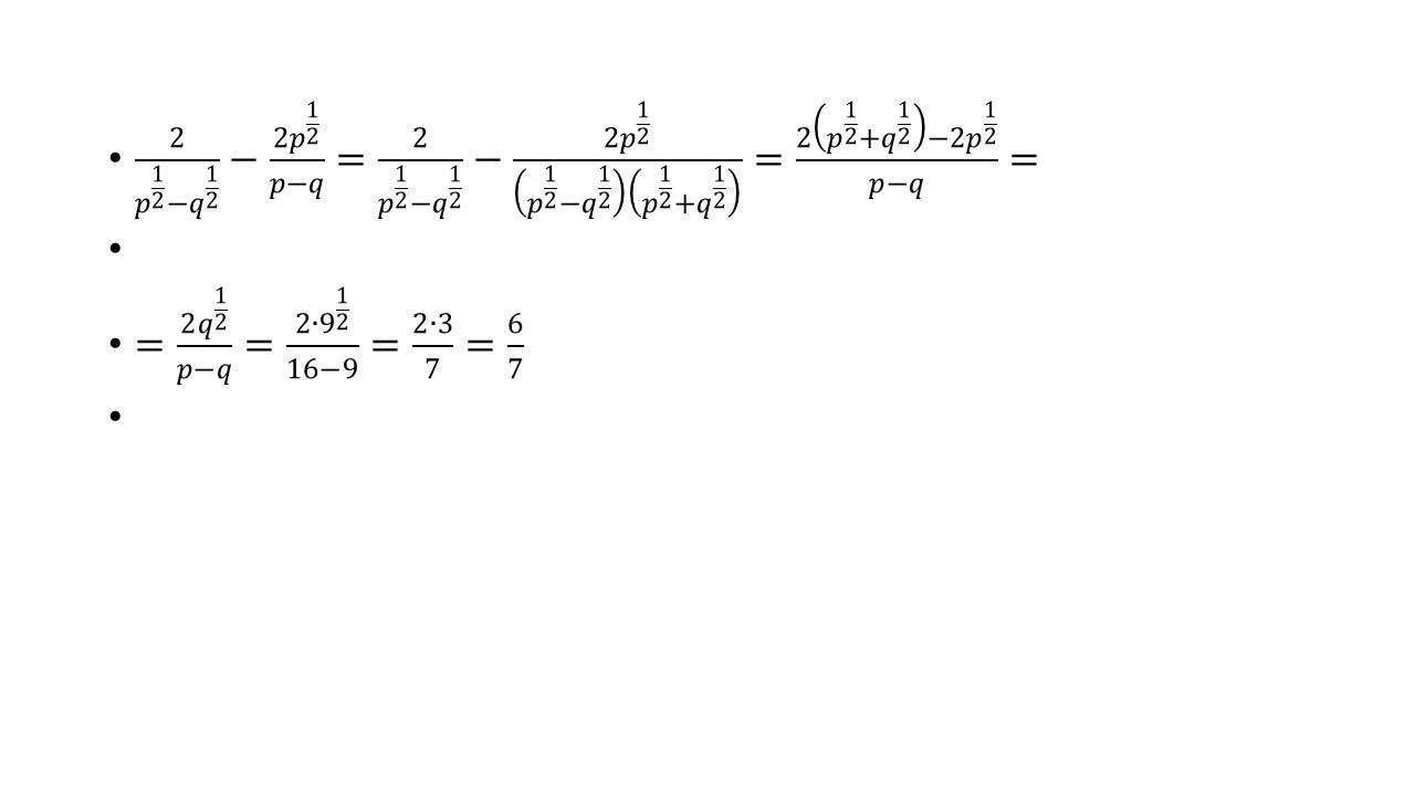
Ответ:
6/7
Объяснение:
foto
Приложения:
Похожие вопросы
Предмет: Русский язык,
автор: alesja27
Предмет: Английский язык,
автор: zin7005
Предмет: Українська мова,
автор: Наська010
Предмет: Математика,
автор: Николай5452
Предмет: Обществознание,
автор: SexsiBoy