Предмет: Алгебра,
автор: vedr0v
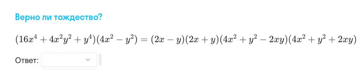
Срочно помогите максимум баллов
Приложения:
Ответы
Автор ответа:
0
Ответ:
Тождество верно
Объяснение:
Приложения:
Похожие вопросы
Предмет: Українська мова,
автор: antropovat22
Предмет: Другие предметы,
автор: Аноним
Предмет: Английский язык,
автор: шокко
Предмет: Математика,
автор: косован