Предмет: Алгебра,
автор: Ифигения
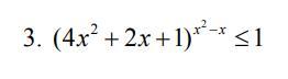
Решить показательное неравенство
Приложения:
Ответы
Автор ответа:
1
...........................................
Приложения:
Похожие вопросы
Предмет: Русский язык,
автор: nikitavfdafsd
Предмет: Русский язык,
автор: Викавикавикавикавик
Предмет: Русский язык,
автор: Angran2
Предмет: География,
автор: Аноним