Предмет: Математика,
автор: milovamasa232
помогите пожалуйста срочно умаляю
Приложения:
Ответы
Автор ответа:
1
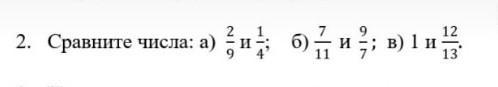
Ответ: [>] [>] [<]
Пошаговое объяснение:
Похожие вопросы
Предмет: Русский язык,
автор: 152728
Предмет: Другие предметы,
автор: Сентябринка12
Предмет: Английский язык,
автор: lelic11
Предмет: Математика,
автор: Damian73