Предмет: Алгебра,
автор: rebenoksolntza
Срочно помогите!!! Даю 15 баллов!
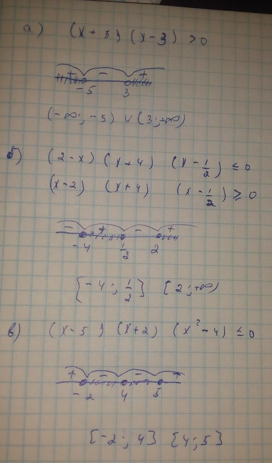
Решите неравенство методом интервалов:
а) (x+5)(x-3)>0
б) (2-x)(x+4)(x-1/2)⩽0
в) (x-5)(x+2)(x^2-4)⩽0
Ответы
Автор ответа:
1
Ответ:
последний (в) проверьте условия я правильно написала
Приложения:
rebenoksolntza:
Да условие правильное. Спасибо.
пожалуйста)
Похожие вопросы
Предмет: Русский язык,
автор: gnatuk1985
Предмет: Английский язык,
автор: Дракон100000
Предмет: Английский язык,
автор: Дашулька845
Предмет: Математика,
автор: СветаСапега
Предмет: Математика,
автор: Дискриминант123