Предмет: Математика,
автор: ivannaydysh
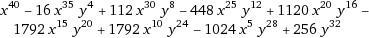
Раскройте скобки в выражении (х в 5 - 2y в 4) в 8 степени
Ответы
Автор ответа:
1
Ответ:
как то так
Пошаговое объяснение:
Приложения:
ivannaydysh:
нету примера
тогда покажи на листке
знать бы ещё как тут фото добавлять
(x^5-2y^4)^8 там так написано?
да
очень буду благодарен за помощь
посмотри изначальный ответ (изменила)
спасибо большое
Похожие вопросы
Предмет: Українська мова,
автор: hilko20
Предмет: Английский язык,
автор: AZAZAIKA
Предмет: Русский язык,
автор: all3175
Предмет: Математика,
автор: Аноним