Предмет: Алгебра,
автор: tanzzui
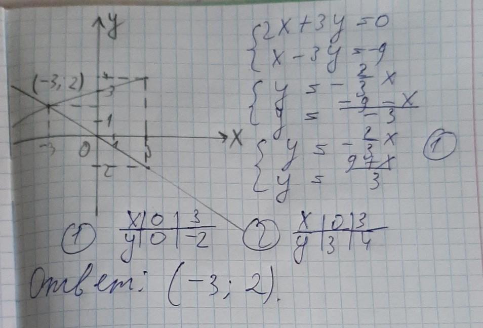
Решить графически:
2x+3y=0,
X-3y=-9
Ответы
Автор ответа:
2
Объяснение:
решение на фотографии.
Приложения:
Похожие вопросы
Предмет: Другие предметы,
автор: maryam24
Предмет: Русский язык,
автор: alzhigar
Предмет: Українська мова,
автор: vovik2004
Предмет: Информатика,
автор: aaafdd
Предмет: География,
автор: Никрос525878