Предмет: Математика,
автор: jpuhw181
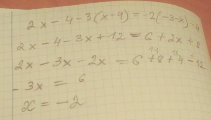
2x - 4 - 3(x - 4) = - 2(- 3 - x) - 4.
Ответы
Автор ответа:
0
Ответ:
на картинке :)
Пошаговое объяснение:
^_^ Удачи
Приложения:
Автор ответа:
0
Відповідь:х=2
Покрокове пояснення: 2х-4-3(х-4)-2(-3-х)-4
2х-3х+12=6+2х
-3х+12=6
-3х=6-12
-3х=-6
х=2
Похожие вопросы
Предмет: Другие предметы,
автор: LaDa07
Предмет: Українська мова,
автор: Lika1405
Предмет: Английский язык,
автор: ananeva19801
Предмет: ОБЖ,
автор: NEKAKA1
Предмет: Математика,
автор: Sunshine2005