Предмет: Алгебра,
автор: bigdurkaboss
Помогите с самостоятельной по алгебре.
1. Разложить на множители: 3х2-10х-8
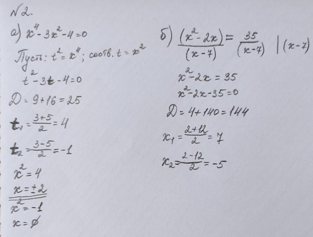
2. Решить уравнения: а) х4-3х2-4=0; б) (х2-2х) : (х-7)=35:(х-7)
3. Сократить дробь: (3а2 +7а-6) / (а2 – 9)
4. Решить задачу: Лодка прошла 16 км по течению реки и 18 км против течения, затратив на путь против течения на 1 час больше, чем на путь по течению. Найдите собственную скорость лодки, если скорость течения реки составляет 1 км/час.
5. Решить уравнение: 5:(х2 - 4х+4) – 4: (х2 - 4)=1:( х+2)
Ответы
Автор ответа:
0
Объяснение:
.....................
Приложения:
Автор ответа:
0
Объяснение:
Неза что. Удачи тебе.........
Приложения:
Похожие вопросы
Предмет: Русский язык,
автор: sergiyy
Предмет: Русский язык,
автор: polinasazina64352
Предмет: Русский язык,
автор: nastenkazavezen6006
Предмет: Математика,
автор: Mstar1
Предмет: Математика,
автор: 2908081