Предмет: Алгебра,
автор: farankinstain
помогите решить пожалуйста
Приложения:
Ответы
Автор ответа:
0
Ответ:
1.a) б)
в)60
2.a)16384 б)63 в)
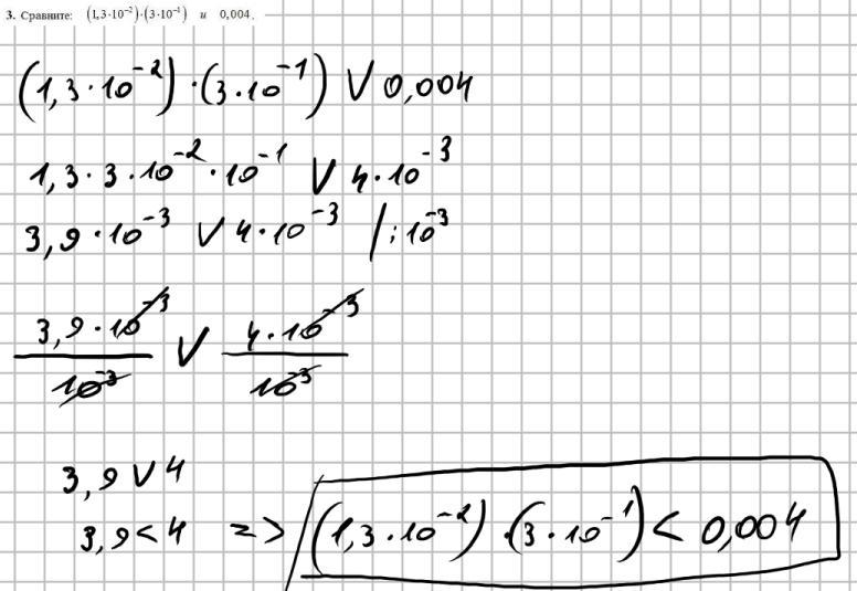
3.
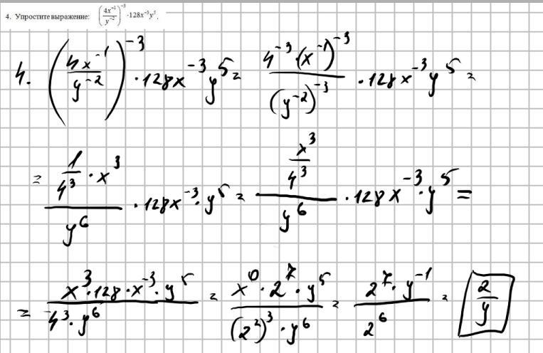
4.
5.
Объяснение:
Приложения:
Похожие вопросы
Предмет: Русский язык,
автор: илья0909
Предмет: Другие предметы,
автор: Анька732810
Предмет: Русский язык,
автор: даша3736733
Предмет: История,
автор: Olgamak28