Предмет: Алгебра, автор: vhvghcssyrset

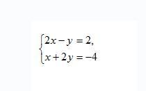
Какая пара чисел является решением системы

Приложения:

Ответы

Автор ответа: Аноним
0

Ответ:

(0;-2)

Способ Подстановки

\left \{ {{2x-y=2} \atop {x+2y=-4}} \right. \\\\\left \{ {{y=-2+2x} \atop {x+2y=-4}} \right.

Далее вместо y во втором подставляем -2-2x

х+2*(-2+2х)=-4

х-4+4х=-4

5х=0

х=0

Теперь подставляем в любой из примеров х

2*0-y=2

-y=2

y=-2

Похожие вопросы
Предмет: Русский язык, автор: Sently
Предмет: Математика, автор: ertyuki667