Предмет: Алгебра,
автор: osmanovtopoviy72
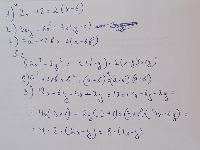
№1 Вынести общий множитель за скобки
1)2x-12=?
2)3xy-6x=?(в квадрате)
3)7а-42b=?
№2 Разложите на множители
1)2x (в квадрате) -2y (в квадрате)=?
второй пропускаю
3)а (в квадрате)+ 2ab+b (в квадрате)=?
4)12x-6у+4х-2у
Помогите пожалуйста срочно, мне нужно в течении 10 минут
osmanovtopoviy72:
даю 10 баллов
Ответы
Автор ответа:
1
Ответ:
.......................
Приложения:
СППАААААССИИИИИИББООООООООО!!!!!!!!!!!!!!!!!!!!!!!!!!!!!!!!!!!!!!!!!!!!!!!!!!!!!!!!!!!!!!!!!!!!!!!
Хоть 9999999999 баллов ты выручил/а
Похожие вопросы
Предмет: Другие предметы,
автор: ОксаночкаДобро04
Предмет: Русский язык,
автор: yanatashasemenowa
Предмет: Английский язык,
автор: Бугаёнок
Предмет: Химия,
автор: PKarmacheva
Предмет: Право,
автор: Аноним