Предмет: Математика,
автор: ke36
8 класс матем помогите пж
Приложения:
Ответы
Автор ответа:
1
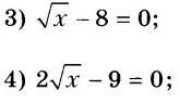
Ответ:
3) √64 - 8 > 8 - 8 = 0. ответ 64
4) 2√20,25 - 9 > 2•4,5 - 9 > 9 - 9 =0 ответ 20,25
Похожие вопросы
Предмет: Английский язык,
автор: вИк13333
Предмет: Другие предметы,
автор: mlerusha
Предмет: Русский язык,
автор: MShisharin
Предмет: Биология,
автор: m695a9
Предмет: Математика,
автор: Артемийсоколов