Предмет: Английский язык,
автор: bakulegalservices
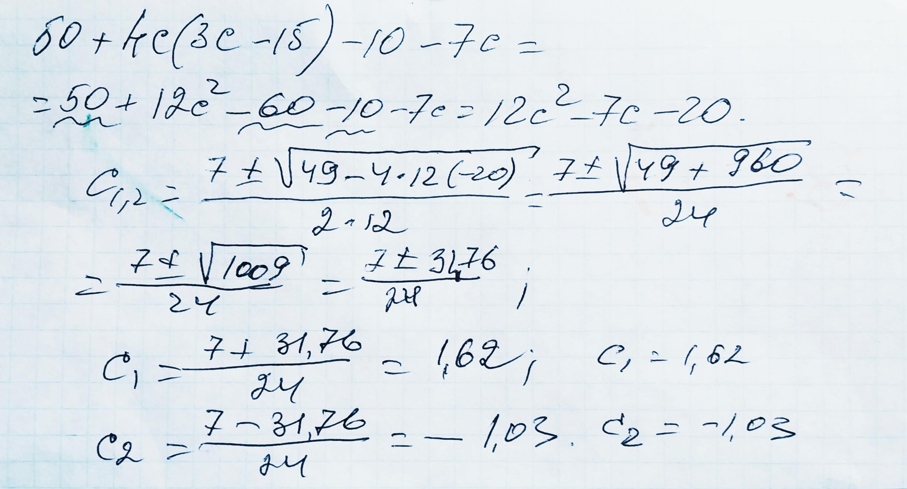
50+4c(3c-15)-10-7c даю 25 баллов пожалуйста
Ответы
Автор ответа:
0
Как-то так получилось. Пример точно переписан верно?
Приложения:
Похожие вопросы
Предмет: Русский язык,
автор: molorok867
Предмет: Английский язык,
автор: Аноним
Предмет: Русский язык,
автор: AZARHNSSA
Предмет: Обществознание,
автор: asol40203