Предмет: Алгебра,
автор: Ritka9972
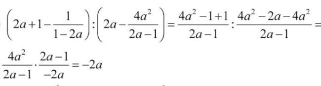
41.7. Выполните действия:
(2а + 1 -1/1 - 2а) : (2а - 4а²/2а-1)
Ответы
Автор ответа:
24
Сделай лучшим ПОЖАЛУЙСТА!
Приложения:
websit:
К этому ответу ставлю пять звёзд. К нижнему 4. Потому что не в таком формате
Не очень понятен
У него ответ неправильный
Автор ответа:
5
Ответ:
2а\2а-1 -1\2а+1= 2а*(2а+1) - (2а-1)\4а²-1 = 4а²+2а-2а+1\4а²-1 = 4а²+1\4а²-1
Объяснение:
Можно в виде фото?
Похожие вопросы
Предмет: Другие предметы,
автор: 2230063ruslan
Предмет: Русский язык,
автор: 89559584
Предмет: Другие предметы,
автор: uzorka
Предмет: Литература,
автор: luda19773112
Предмет: Математика,
автор: Bobioy