Предмет: Алгебра,
автор: dasatotackaa
ПОМОГИТЕ!!!
Решите уравнение sin 2 x + cos 2 x = - 1 .
Напишите пожалуйста подробный ответ!
Ответы
Автор ответа:
0
Ответ:
Тут подробно не получается, вроде как...
У меня получилось такое решение:
у=sin(2x)+cos(2x) и у=-1
Область определения: х (значок принадлежноси) R.
Пересечение с осью ординат: (0;1).
График на рисунке, волнистая линия, конечно же, должна быть красивее.
Приложения:
omudray:
Я сейчас подумаю и в интернете посмотрю, вдруг кто-то такое уже где-то объяснял.
Может, я туплю. Нашла в интернете такой же пример. Только у тебя после равно "-1", а там "1", обрати внимание. Ссылка на решение: https://znanija.com/task/8542585
Это пробный тест, я его решила и получила правильный ответ. Просто не разобралась с этим заданием. Поэтому и знаю ответ. И этот тест не возможно найти, он только в нашей учебной программе!
Не знаю, поможет ли тебе решение по ссылке, но я до сих пор не догоняю, как добраться до того ответа.
Спасибо за помощь!
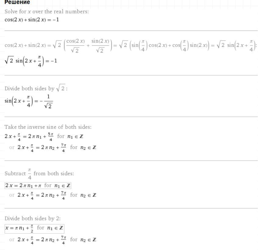
С помощью одного калькулятора нашла ещё решение. Как я могу скрины прикрепить? Или отредактировать ответ?
Отредактируй, если можешь:)
Я прикрепила два скрина к моему ответу. Калькулятор вывел ответ другой, не такой, как у тебя. Надеюсь, что сможешь разобраться. Я туплю.(9
Спасибо:)
Рада была помочь, если всё-таки как-то помогла!:) Удачи!
Похожие вопросы
Предмет: Геометрия,
автор: pires
Предмет: Алгебра,
автор: shaman1877
Предмет: Русский язык,
автор: IsaevDanil200
Предмет: Математика,
автор: Blade228
Предмет: Математика,
автор: ksen110