Предмет: Алгебра, автор: marks110811

Упростите выражение

Приложения:

Ответы

Автор ответа: Aspirant2022
0

Ответ:

В РЕШЕНИИ!!!!

Объяснение: Запишем выражение в исходном виде:

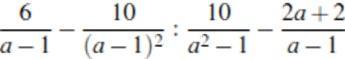
\frac{6}{a-1}-\frac{10}{(a-1)^{2}}/\frac{10}{a^{2}-1}-\frac{2a+2}{a-1}

Преобразуем выражение:

\frac{6(a-1)-10}{(a-1)^{2}}/\frac{10-(2a+2)(a+1)}{(a-1)(a+1)} \\ \frac{6a-6-10}{(a-1)^{2}}/\frac{10-(2a^{2}+2a+2a+2) }{(a-1)(a+1)}\\  \frac{6a-16}{(a-1)^{2}}/\frac{10-2a^2-4a-2}{(a-1)(a+1)}\\\ \frac{6a-16}{(a-1)^2}/\frac{-2a^2-4a-8}{(a-1)(a+1)} \\ \frac{6a-16}{(a-1)^2}/\frac{2(a^2a-2a-4)}{(a-1)(a+1)}  \\\frac{2(3a-8)}{(a-1)^2}/\frac{2(a-2)^2}{(a-1)(a+1)}\\  \frac{2(3a-8)}{(a-1)^2}*\frac{(a-1)(a+1)}{(a-2)^2}\\  \frac{2(3a-8)(a+1)}{(a-1)(a-2)^2}

Похожие вопросы
Предмет: Математика, автор: Digitalnata
Предмет: Русский язык, автор: янаабольникова2003
Предмет: Математика, автор: lubskoy