Предмет: Алгебра,
автор: makurov20062006
помогите пожалуйста ДАМ 20 БАЛЛОВ
Приложения:
Ответы
Автор ответа:
1
Объяснение:
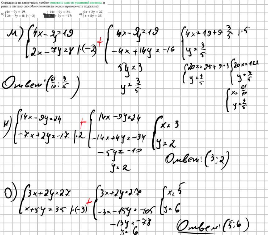
......................................
Приложения:
makurov20062006:
спасибо большое
спасибо получил 8
Похожие вопросы
Предмет: География,
автор: AnnaЯ
Предмет: Українська література,
автор: Аноним
Предмет: Математика,
автор: orlov26
Предмет: Математика,
автор: gips1705