Предмет: Математика,
автор: oladudar84
сколько будет срочно!!!!решение.!
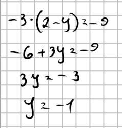
-3 (2-у) =-9
Ответы
Автор ответа:
0
Ответ:
-1
Пошаговое объяснение:
будет -1 пиши цифру 1 и перед ней добавляй "-": -1
Приложения:
Автор ответа:
0
-6+3у=-9
3у=6-9
у=-1 ответ
Похожие вопросы
Предмет: Українська література,
автор: s0meb0dy
Предмет: Физика,
автор: vic58
Предмет: Русский язык,
автор: sontsakatia
Предмет: Математика,
автор: repyovanastya
Предмет: Математика,
автор: меле1