Предмет: Алгебра,
автор: km1300454
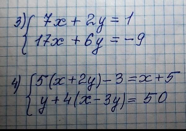
Плз, даю 20 баллов. Умоляю просто нам, дали 5 мин. ребят пожалуйста помогите
Приложения:
Ответы
Автор ответа:
1
Ответ:
3)(x,y)=(3,-10)
4)(x,y)=(7,-2)
Объяснение:
Похожие вопросы
Предмет: Русский язык,
автор: ruslan91113
Предмет: Русский язык,
автор: ritabuneeva
Предмет: Физика,
автор: safonovaleriya
Предмет: Математика,
автор: Гейдаров
Предмет: Литература,
автор: kamilka1318