Предмет: Алгебра,
автор: sigaevasofia3
Найти значение выражениям.Срочно!!!
Приложения:
Ответы
Автор ответа:
0
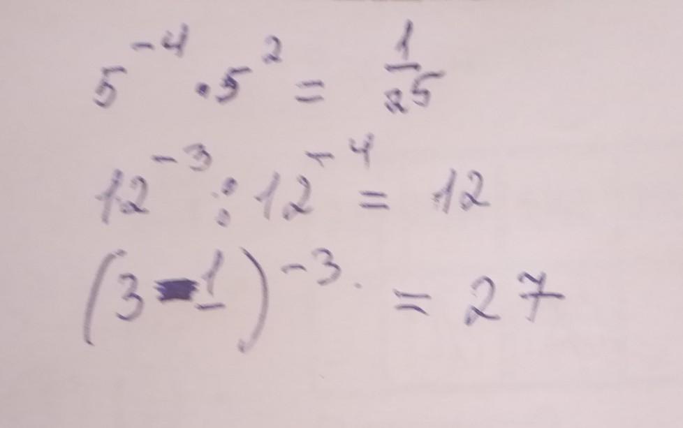
Ответ:
наверное вышло понятно
Приложения:
Автор ответа:
1
Ответ: Внизу в папке
Объяснение:
Все понятно расписала
Приложения:
Похожие вопросы
Предмет: Физика,
автор: vic58
Предмет: Обществознание,
автор: Аноним
Предмет: География,
автор: русик
Предмет: Математика,
автор: ver77
Предмет: Математика,
автор: София2007111