Предмет: Алгебра,
автор: Tatu2821
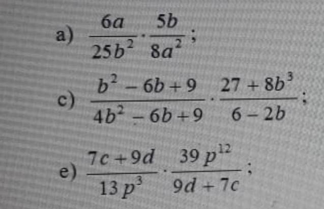
выполните действие
(только а,е)
Приложения:
Ответы
Автор ответа:
1
Ответ:
Фото
Объяснение:
Приложения:
Похожие вопросы
Предмет: Математика,
автор: ermakovaangelina
Предмет: История,
автор: dert123
Предмет: Русский язык,
автор: Аноним
Предмет: Математика,
автор: leiab04