Предмет: Алгебра,
автор: yakishina2006
Прям ОЧЕНЬ СРОЧНОООО!!!!!!!!!!!!!!!!!!
Приложения:
Ответы
Автор ответа:
1
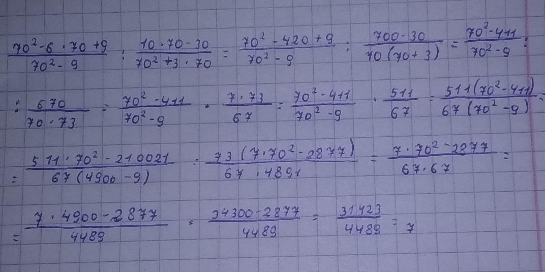
Ответ на фото .........
Приложения:
Похожие вопросы
Предмет: Другие предметы,
автор: 1994margo
Предмет: Математика,
автор: ami1702
Предмет: Английский язык,
автор: Аноним
Предмет: Биология,
автор: bogdanbelik2
Предмет: Математика,
автор: машамопс