Предмет: Алгебра,
автор: Аноним
ПОМОГІТЄ пожалуста СРОЧНО
Приложения:
Ответы
Автор ответа:
0
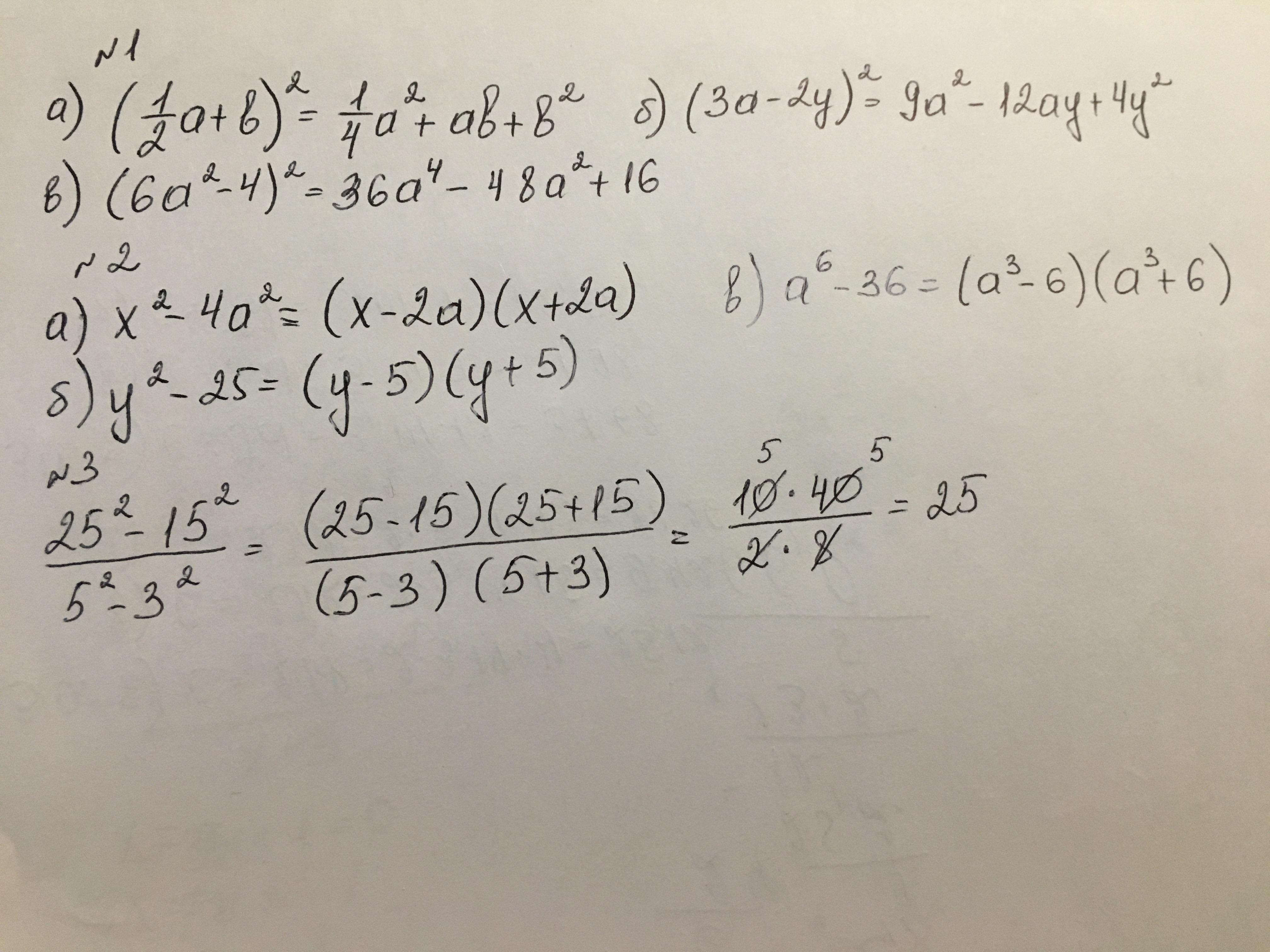
Объяснение:
Надеюсь, всё будет понятно
Приложения:
Автор ответа:
0
Ответ:
Решение в приложении
Объяснение:
Приложения:
Похожие вопросы
Предмет: Русский язык,
автор: 070778
Предмет: Русский язык,
автор: Digitalnata
Предмет: Другие предметы,
автор: amfidelmana
Предмет: Математика,
автор: ritata31
Предмет: Математика,
автор: Аноним