Предмет: Математика,
автор: AndreyNosok
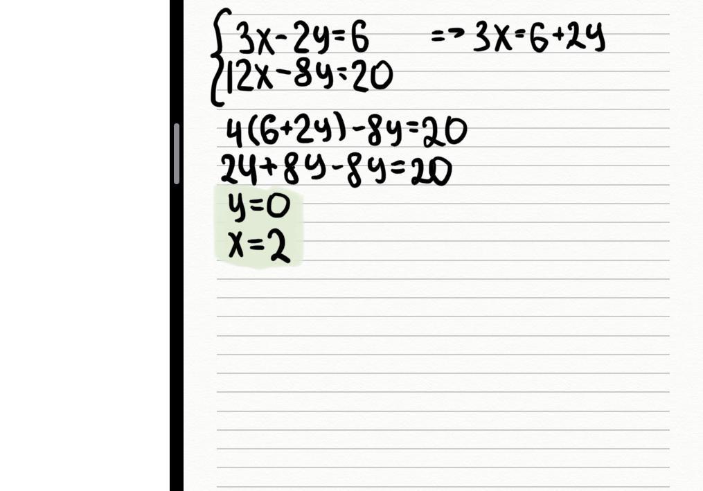
Помогите решить систему уравнений!
Приложения:
Ответы
Автор ответа:
0
Ну, как-то так. Ответ будет [х;у]принадлежит О зачеркнутая
Приложения:
Автор ответа:
0
Привет, решение во вложении. Пожалуйста, не забудь потом отметить мой ответ как лучший :)
Приложения:
Похожие вопросы
Предмет: Биология,
автор: OlyaOlya17112001
Предмет: Алгебра,
автор: attraction88012
Предмет: Другие предметы,
автор: багира2202
Предмет: Математика,
автор: olyayargina83
Предмет: Литература,
автор: Аноним